
Hur mycket dyrare blir skatten med Euro 6e-bis?
Nästa år införs nya utsläppsregler för all nybilsförsäljning. De nya reglerna ska på ett mer trovärdigt och verklighetsnära sätt mäta hur mycket koldioxid per kilometer ett fordon faktiskt släpper ut.
Skatten för laddhybrider ökar, någotsånär, 2026
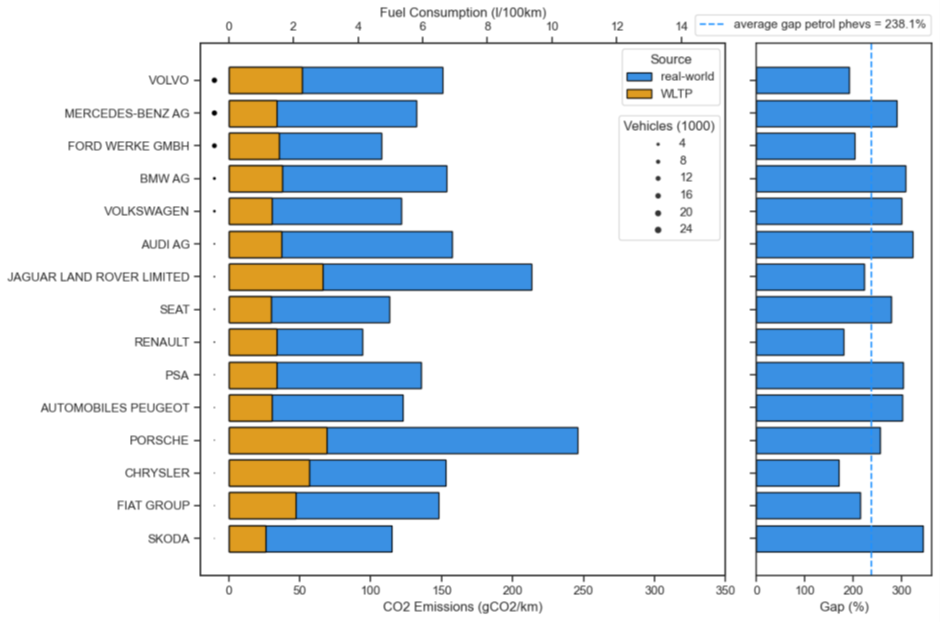
WLTP, mätmetoden som du säkert hört talas om, har nu skärpts kraftigt. Det innebär att laddhybriders, även kallat Plug-in-hybrider (PHEV), verkliga utsläpp i många fall är betydligt högre än tidigare beräkningar. Undersökningar visar att majoriteten av dagens laddhybrider släpper ut omkring 3,5 gånger fler gram koldioxid per kilometer än vad dagens mätstandard anger.
Men årsskiftet behöver inte bävas för det. Majoriteten av de senaste årens laddhybrider med gedigna batterier fortsätter, trots skärpta regler, att släppa ut mindre än 75 g/km. Låt oss konkretisera det ytterligare. Du kan tänka ungefär så här: Den nya mätmetoden Euro 6e-bis gör att laddhybridernas utsläpp dubblas till 2026. Exempelvis kommer Volvo XC60 gå från 23 till 56 g/km, vilket innebär en fortsatt fordonsskatt om 360 kr per år. Vid nästa upptrappning, med ännu strängare regler som införs 2027 och 2028, är det möjligt att utsläppet för den nämnda laddhybriden överstiger 75 g/km med några gram.
Detta drabbar inte befintliga fordon eller fordon som köps och ställs på innan årets slut. Det vill säga att reglerna inte påverkar fordon retroaktivt eller bilar som redan är i trafik.
Euro 6e-bis ändrar spelplanen
Den nya standarden Euro 6e-bis innebär stora förändringar. Referenssträckan för testerna höjs från 800 till 2 200 kilometer. Dessutom utökas temperaturintervallet för tester på väg till att omfatta högre temperaturer, upp till 38 grader. Syftet är att bättre spegla verkliga körförhållanden.
Behöver jag vara orolig? Nej, inte om du inte vill. Fordonstillverkarna har koll på detta, eftersom de sedan början av 2025 har varit tvungna att redovisa utsläpp enligt de nya mätningarna.
Exempelvis redovisar Lynk & Co 08 ett utsläpp på 23 g/km enligt Euro 6e-bis. Mazda CX-80 redovisar 91 g/km och Volvo XC60 Recharge ligger på 56 g/km enligt samma standard. Om du inte hittar informationen på tillverkarens webbplats kan du be återförsäljaren bekräfta att bilen är certifierad enligt Euro 6e-bis.
Två goda råd: Antingen väntar du till 2026 innan du köper en laddhybrid, då alla nya bilar måste redovisa sina faktiska utsläpp enligt den nya standarden, eller så köper du en laddhybrid innan årets slut, när rådande utsläppsregler fortfarande gäller.
Hur du kan förbereda dig
Om du planerar att köpa en laddhybrid under 2026 och tillverkaren inte anger om den är miljöklassad enligt Euro 6e-bis, kan du ta bilens nuvarande WLTP-värde och multiplicera det med 2, eller för att vara helt säker med 3,5. Det ger en uppskattning av framtida utsläpp, och om värdet överstiger 75 gram kommer du att få betala en förhöjd skatt under de kommande tre åren. Detta innebär att laddhybrider med en skatt om 360 kronor per år kommer att bli alltmer sällsynta. Därmed följer högre förmånsvärden och sämre ekonomi rent generellt. Det kan kännas frustrerande, men rätt ska vara rätt.
Alla laddhybrider påverkas inte lika mycket, men detta är ett genomsnitt att utgå från. Det är framför allt de med små batterier och mycket låga utsläppsvärden, enligt nuvarande mätning, som du ska vara uppmärksam på.

Malus och den nya verkligheten
Sedan 2022 innebär Malus att alla bilar som understiger 75 gram koldioxid per kilometer har en årlig skatt på 360 kronor. Tar vi en bil som i dag redovisar utsläpp på 45 g/km kommer den med stor sannolikhet att fördubblas enligt utsläppsreglerna för 2026, och kanske till och med tredubblas till 2027.
Låt oss överdriva lite för att vara på den säkra sidan och säga att en laddhybrid med bensinmotor landar på 140 g/km. Undersökningar visar att laddhybrider i snitt släpper ut omkring 140 g/km, och inte de 40 g/km som tidigare mätmetoder visade. Återigen är detta riktlinjer baserade på forskning, inte exakta värden för varje laddhybridmodell på marknaden.
Skatten beräknas då enligt Skatteverkets nuvarande Malus-regler:
- Grundbelopp: 360 kr
- Utsläpp mellan 75 och 125 g/km: 50 g * 107 kr = 5 350 kr
- Utsläpp över 125 g/km (15 g): 15 * 132 kr = 1 980 kr
- Totalt: 360 + 5 350 + 1 980 = 7 690 kr per år
Det innebär en ökning med 7 330 kronor per år. Under de tre första åren, då Malusskatten gäller, blir den totala kostnaden cirka 23 070 kronor.
Samma uträkning för en Mazda CX-80 med 91 g/km ger en skatteökning på 1 712 kronor och en total skatt över de tre första åren på omkring 6 216 kronor.
Ett fordon som har förhöjd fordonsskatt i tre år, så kallad Malusskatt, återgår till normal fordonsskatt tre år efter att fordonet togs i trafik första gången (i världen).
Vad händer i 2027 och 2028?
Nästa steg heter Euro 6e-bis FCM och införs i två etapper: den 1 januari 2027 för nya typgodkännanden och den 1 januari 2028 för all nybilsförsäljning.
Det enklaste sättet att förklara detta är att säga att utsläppsreglerna skärps ytterligare jämfört med dem som träder i kraft 2026. Körsträckan för test höjs från 2 200 till 4 260 kilometer, vilket återigen påverkar laddhybriderna mest, eftersom deras bränsleförbrukning och koldioxidutsläpp kommer att redovisas som betydligt högre än tidigare.
Avslutande kommentar
Om du är kund eller förare hos oss och känner dig osäker på om du ska beställa nästa laddhybrid direkt eller inte, går det bra att avvakta. I många fall kan vi förlänga ditt nuvarande avtal utan problem.
Om du önskar kan vi göra en omräkning av det befintliga avtalet, och om båda parter är överens kan du fortsätta köra din lågt beskattade laddhybrid en tid till. När 2026 är här och de nya reglerna är i kraft är du alltid välkommen att återkomma till oss med vilken laddhybrid du önskar köra härnäst.
Källor:


